logo

Депутат ЛДПР получил сведения от Минздрава: проблема нехватки врачей становится угрожающей

img Дата
24.10.2022
img Просмотров
16
img Поделиться
регионы Красноярский край нехватка врачей

Депутат ЛДПР Алексей Бойков получил сведения от Минздрава по ранее направленному запросу. Поводом стали регулярные жалобы граждан на нехватку врачей. Цифры в ответе просто поражают

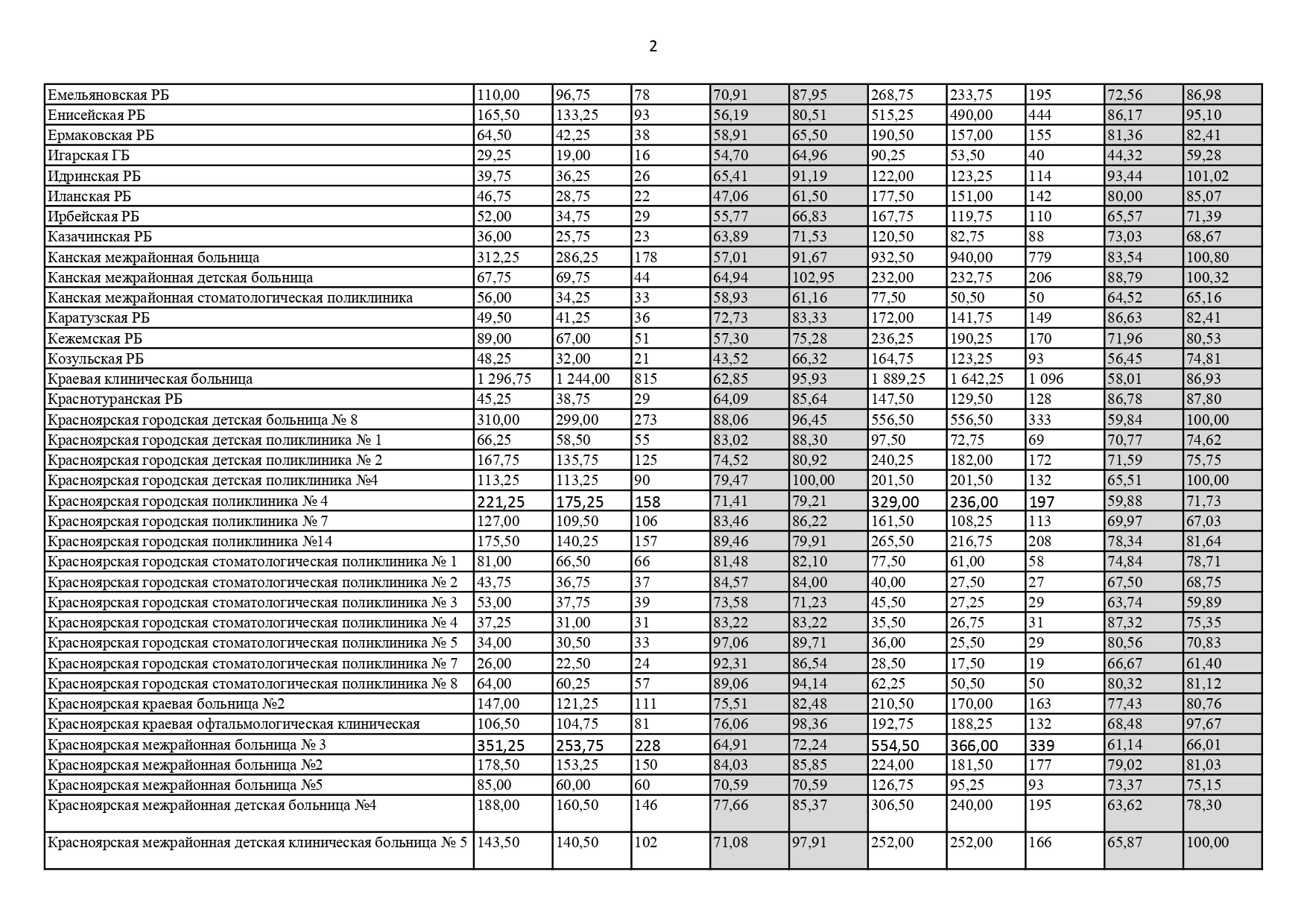
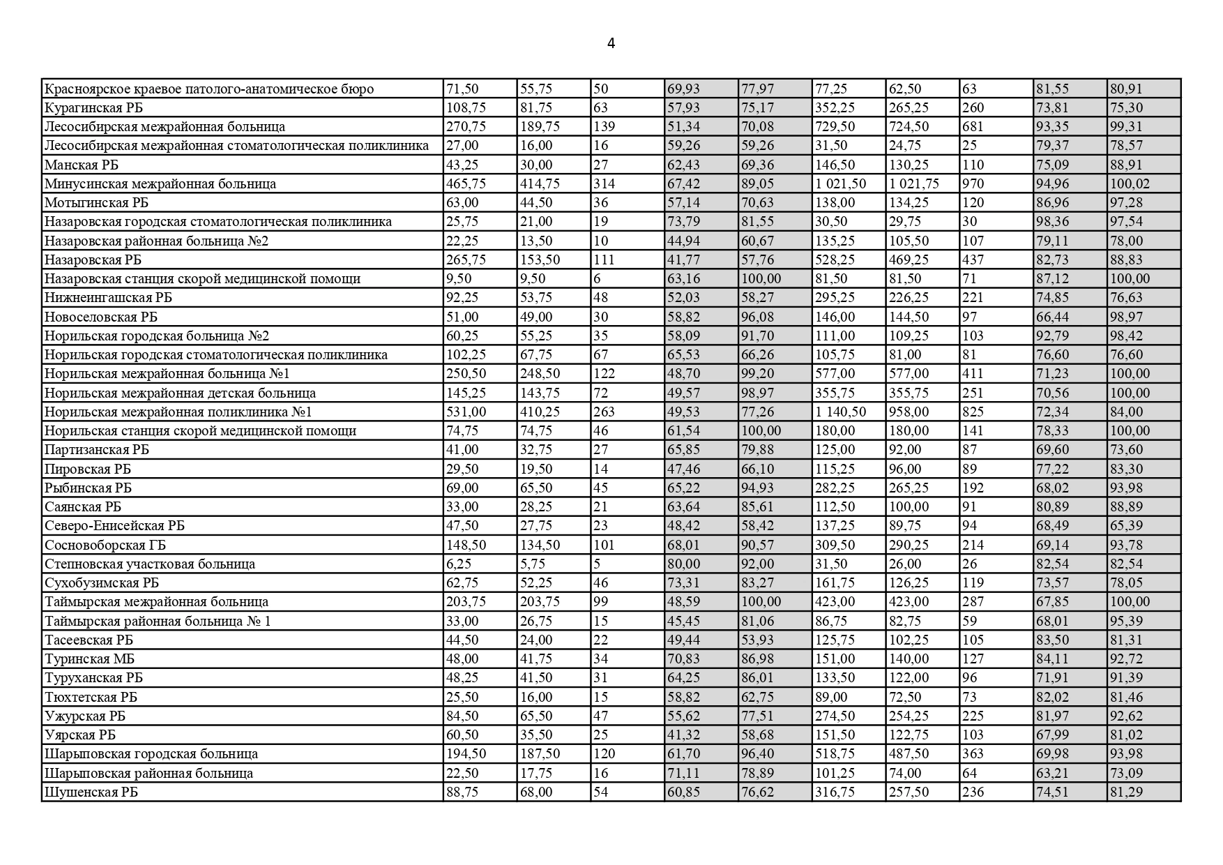
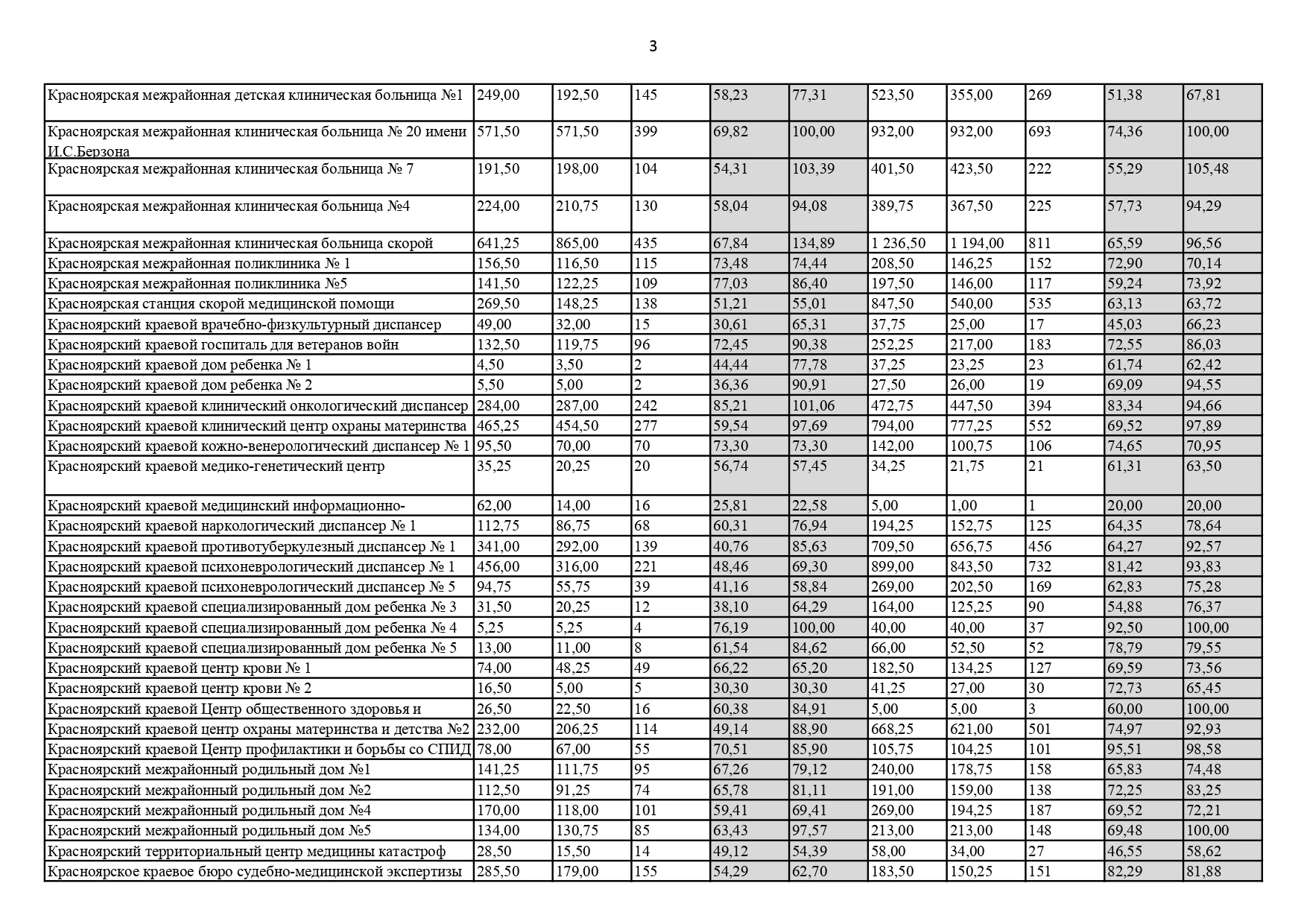
Так, Минздрав сообщает, что в краевых больницах работает более 10 тысяч врачей, при этом не хватает почти 45% врачей и более 30% - медсестёр. Но это средние показатели, в отдельных территориях ситуация еще хуже.

Например, обеспеченность врачами на 62% в Байките, Ванаваре и Тюхтете можно попытаться объяснить, в том числе отдалённостью территорий, но почему-то ещё в более отдалённых больницах в Туруханске и Туре укомлектованность кадрами составляет 86%. Есть и такие примеры как Ачинск, где врачей в межрайонной больнице крупного города менее 70%.

Меры по заполнению вакансий принимаются, но из 141 «целевика», выпущенного нашим медуниверситетом, трудоустроены лишь 44 человека. Выдаются образовательные сертификаты, правда, за три года их получили лишь три сотни студентов, что капля в море с объёмом вакансий. Существующих мер явно недостаточно!

Острая нехватка кадров порождает очереди в поликлиниках, невозможность оперативно попасть к нужному специалисту, а вечная перегрузка имеющихся врачей может повлиять на качество диагностики и лечения. Порой квест «как попасть к врачу» становится в прямом смысле игрой на выживание. И с этим нужно что-то делать!

Этот сайт использует cookie-файлы, чтобы помочь Вам в навигации, а также для предоставления лучшего пользовательского опыта
Принять